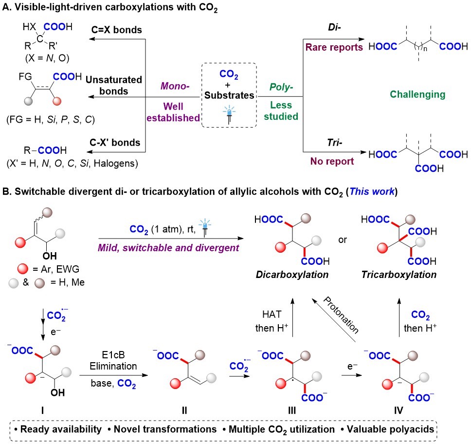
二氧化碳(CO2)作为一种储量丰富、无毒且可循环再生的碳资源,其高效利用对于推动可持续发展具有重要意义。通过化学转化将CO2转化为高附加值化学品是实现CO2资源化利用的重要途径之一。在众多转化方法中,可见光催化CO2的羧基化反应可以绿色精准地合成高附加值羧酸分子,因此备受瞩目。然而,当前可见光催化CO2的羧基化领域主要局限于单羧基化反应,仅有少量双羧基化报道,还没有三羧基化反应的报道。鉴于多元羧酸作为关键的聚合单体和交联剂在高分子材料领域的广泛用途,开发CO2参与的多重羧基化反应,高效高选择性合成多元羧酸,具有重要的科学意义和实际应用价值。
另一方面,烯丙醇类化合物是简单易得的原料和重要的有机合成中间体。虽然过渡金属催化或光催化CO2参与烯丙醇的羧基化反应已经被报道,但这些反应仅实现了烯丙醇碳氧键的单羧基化反应,目前还没有直接将烯丙醇类化合物转化为多元羧酸并实现其发散性合成的研究报道。尽管通过烯丙醇碳氧键和烯基的同时羧基化可能实现选择性双羧基化或三羧基化反应,但存在单羧基化和自由基-自由基偶联等副反应的竞争,其选择性调控面临巨大挑战。
针对以上问题,公司余达刚教授和叶剑衡研究员团队在前期可见光驱动CO2参与不饱和底物的双羧基化研究工作( 综述:Acc. Chem. Res. 2021, 54, 2518; Natl. Sci. Open 2023, 2, 20220024. 代表性研究论文:Nat. Catal. 2021, 4, 304; Nat. Catal. 2022, 5, 832; Chin. J. Catal. 2023, 50, 222)基础上,成功实现了可见光驱动CO2参与烯丙醇的发散性双羧基化和三羧基化反应。通过简单调整反应条件,可以从同一种烯丙醇底物高化学选择性和区域选择性地制备重要的二元羧酸和三元羧酸。该策略具有良好的官能团耐受性、广泛的底物范围和易于衍生等优点,还可以应用于发光和生物材料等潜在功能材料的衍生合成,在有机合成和材料制备方面具有较好的实用性。基于深入的机理研究,作者揭示了这种发散合成策略的本质:双羧基化和三羧基化反应存在相同的单羧基化中间体,后续经历不同的转化途径选择性得到二元羧酸和三元羧酸。

总的来说,该研究首次报道了CO2参与的烯丙醇发散性双羧基化和三羧基化反应,实现了选择性调控,高效合成了重要的二元羧酸和三元羧酸。该工作不仅丰富了CO2参与的羧基化反应类型,同时也为新型CO2基功能材料的设计与应用提供了重要基础。
该研究以“Switchable Divergent Di- or Tricarboxylation of Allylic Alcohols with CO2’’为题近日发表于《Chem》。文章链接:https://doi.org/10.1016/j.chempr.2023.12.005。太阳集团2007为第一单位,叶剑衡研究员和余达刚教授为共同通讯作者,太阳集团2007博士后(现为中国科学院青岛生物能源与过程研究所副研究员)于博、太阳集团2007硕士研究生刘毅和2023届硕士肖汉至为共同第一作者。衷心感谢国家自然科学基金委、中国博士后科学基金和太阳集团2007的经费支持,同时感谢太阳集团2007朱剑波教授、太阳集团2007口腔疾病国家重点实验室张朝良老师、太阳集团2007分析测试中心王晓燕老师以及太阳集团2007化学专业实验室综合训练平台李静老师、张琴芳老师和邓冬艳老师的测试支持。